学院主站
学院首页
学院概况
学院简介
学院领导
机构设置
学院位置
党建工作
党务工作
工会工作
学历继续教育
招生管理
教务与学籍
校外教学点
精品课程
非学历继续教育
培训简介
培训通知
培训动态
精品培训项目
名师风采
培训管理系统
证书查询
政策文件
上级文件
学校相关制度文件
下载中心
学院首页
shou ye
通知公告
学院首页
>>
通知公告
>> 正文
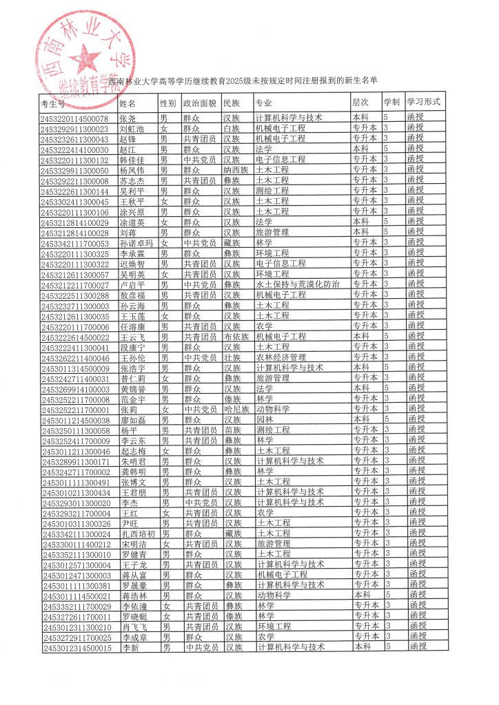
关于拟对2025级未报到新生不予注册学籍的温馨提示
发布日期:2025-03-27 作者: 来源: 点击:
上一篇:
2026届毕业生毕业照片采集的具体要求
下一篇:
西南林业大学继续教育学院关于进一步规范校外教学点收费管理的通知